2014年9月15日 星期一

4-2 PID控制器參數推導

4-2   PID控制器參數推導
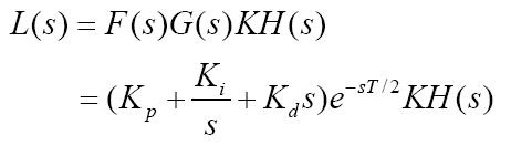
由簡介可知PID控制器主要參數分別為KpKiKd,故考慮一個實際的馬達系統模型,如圖4-2,推導PID控制器三項參數的選用與分析。
 未命名  
圖4-2:馬達系統模型
 
將此系統進一步簡化,可得圖4-3之模型,其中F(s)即為PID控制器,G(s)則是由取樣所造成的延遲時間因子,當取樣時間為T時,則未命名  ,H(s)為結合馬達、驅動器及感測器之簡化系統,其整體轉移函數如下
   未命名  
 未命名  
圖4-3:系統簡化模型
則此系統之開回路轉移函數為
 未命名  
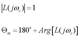
考慮系統之交換頻率(Crossover Frequency)和相位邊限(Phase Margin)因素,則
   未命名   
由前述可知,參數Ki主要作用於系統低頻操作時,故可推斷Ki對於開迴路系統│L(jωc)│的大小值沒有影響,但對於相位則會造成約-5°的相位落後影響。因此,假設系統之延遲時間因子為1,則
 未命名    
若僅考慮系統之大小關係,即Ki=0G(s)=1,可將此開迴路系統推導為
 未命名    (4-1)
其中
 未命名  
再考慮系統相位關係,受到相位落後的影響,則相關計算如下把值
 未命名   
將數值代入可得
 未命名  
其中
未命名          (4-2)
由(4-1)及(4-2)可繪得KdKp之三角關係圖
 未命名  
圖4-4:與三角關係圖
由圖4-4可推導出KdKp之關係式
 未命名   
例一:參考圖4-5之系統及其相關參數,設計適當的PID參數。
 未命名  
圖4-5:系統方塊圖
相關參數:
 未命名  
    設計規格:
 未命名  
解:
    則H(s)之轉移函數為
未命名   
將以ωc=200代入,可得
 未命名   

 未命名   
另可知,Ki會造成相位落後5°,如圖4-6所示,則
 未命名  
圖4-6:PID控制器複數平面圖
 未命名 
 

沒有留言:

張貼留言