Manjul Bhargava | Princeton University, US | Princeton University, US[75][76] | "is awarded a Fields Medal for developing powerful new methods in the geometry of numbers, which he applied to count rings of small rank and to bound the average rank of elliptic curves." |
ax-y,x2+y2,[數學],[算數],[科技],[理論],[財經],[機械],[生技],[計算],[運算],[公司],[arith],[5e4],[arithinfo],[影音],[recognition]
2014年12月27日 星期六
2014年12月21日 星期日
Elliptic curves over finite fields
Elliptic curves over finite fields
Elliptic curves over finite function fields
Elliptic curves over finite function fields
2014年12月19日 星期五
2014年12月1日 星期一
..艱深數學課 打趴一票台生
..艱深數學課 打趴一票台生
作者記者簡立欣╱廣州專題報導 | 中時電子報 – 2014年11月29日 上午5:50.
...旺報【記者簡立欣╱廣州專題報導】
數學是大陸台生的痛。來自嘉義的賴姓大二台生,嘉義高中畢業,2013年學測考了63級分,剛好上頂標,由於數學成績不佳,沒上中央和成功大學,因此挑中廣州中山大學信息科學技術學院計算機科學系。
不料該系的數學課程比重相當高,尤其高等數學課,要學4年,打趴一票台灣學生。他只好拿出所有精力對付這門課,有些公式先硬背,一年下來雖然其他科沒顧好,但至少高等數學沒掛科(當掉),算是台生界「奇葩」。
大陸學生為何數學普遍比台生好很多?從小就在大陸讀當地學校的張姓台生說,大陸數學紮根很深,很重視證明題,像廣東高考(大學聯考)數學滿分是150分,證明題就占了60分,有5到7題,包括幾何、函數等;而台灣教改之後幾乎沒有證明題了。
此外,台灣學數學應受教改影響,通常注重「導公式」也就是解釋公式由來;大陸學數學不重過程,直接背公式。最後,有些課程像微積分,台灣只是理組才會在高三時略提一下,以了解概念為主,大陸卻是直接在高中時教。
作者記者簡立欣╱廣州專題報導 | 中時電子報 – 2014年11月29日 上午5:50.
...旺報【記者簡立欣╱廣州專題報導】
數學是大陸台生的痛。來自嘉義的賴姓大二台生,嘉義高中畢業,2013年學測考了63級分,剛好上頂標,由於數學成績不佳,沒上中央和成功大學,因此挑中廣州中山大學信息科學技術學院計算機科學系。
不料該系的數學課程比重相當高,尤其高等數學課,要學4年,打趴一票台灣學生。他只好拿出所有精力對付這門課,有些公式先硬背,一年下來雖然其他科沒顧好,但至少高等數學沒掛科(當掉),算是台生界「奇葩」。
大陸學生為何數學普遍比台生好很多?從小就在大陸讀當地學校的張姓台生說,大陸數學紮根很深,很重視證明題,像廣東高考(大學聯考)數學滿分是150分,證明題就占了60分,有5到7題,包括幾何、函數等;而台灣教改之後幾乎沒有證明題了。
此外,台灣學數學應受教改影響,通常注重「導公式」也就是解釋公式由來;大陸學數學不重過程,直接背公式。最後,有些課程像微積分,台灣只是理組才會在高三時略提一下,以了解概念為主,大陸卻是直接在高中時教。
2014年11月1日 星期六
2014年9月15日 星期一
His PhD thesis generalized Gauss's classical law for composition of binary quadratic forms to many other situations. http://en.wikipedia.org/wiki/Manjul_Bhargava
Contributions[edit]
His PhD thesis generalized Gauss's classical law for composition of binary quadratic forms to many other situations. One major use of his results is the parametrization of quartic and quintic orders in number fields, thus allowing the study of asymptotic behavior of arithmetic properties of these orders and fields.His research also includes fundamental contributions to the representation theory of quadratic forms, to interpolation problems and p-adic analysis, to the study of ideal class groups of algebraic number fields, and to the arithmetic theory of elliptic curves.[10] A short list of his specific mathematical contributions are:
- Fourteen new Gauss-style composition laws.
- Determination of the asymptotic density of discriminants of quartic and quintic number fields.
- Proofs of the first known cases of the Cohen-Lenstra-Martinet heuristics for class groups.
- Proof of the 15 theorem, including an extension of the theorem to other number sets such as the odd numbers and the prime numbers.
- Proof (with Jonathan Hanke) of the 290 theorem.
- A novel generalization of the factorial function, resolving a decades-old conjecture by George Pólya.
- Proof (with Arul Shankar) that the average rank of all elliptic curves over Q (when ordered by height) is bounded.
In the first two articles of this series, we investigated various higher analogues
In the first two articles of this series, we investigated various higher analogues
of Gauss composition, and showed how several algebraic objects involving
orders in quadratic and cubic fields could be explicitly parametrized. In
particular, a central role in the theory was played by the parametrizations of
the quadratic and cubic rings themselves.
These parametrizations are beautiful and easy to state. In the quadratic
case, one need only note that a quadratic ring—i.e., any ring that is free of rank
2 as a Z-module—is uniquely specified up to isomorphism by its discriminant;
and conversely, given any discriminant D, i.e., any integer congruent to 0 or 1
(mod 4), there is a unique quadratic ring having discriminant D, namely
S(D) =
Z[x]/(x2) if D = 0,
Z · (1, 1) + √D(Z ⊕ Z) if D ≥ 1 is a square,
Z[(D + √D)/2] otherwise.
of Gauss composition, and showed how several algebraic objects involving
orders in quadratic and cubic fields could be explicitly parametrized. In
particular, a central role in the theory was played by the parametrizations of
the quadratic and cubic rings themselves.
These parametrizations are beautiful and easy to state. In the quadratic
case, one need only note that a quadratic ring—i.e., any ring that is free of rank
2 as a Z-module—is uniquely specified up to isomorphism by its discriminant;
and conversely, given any discriminant D, i.e., any integer congruent to 0 or 1
(mod 4), there is a unique quadratic ring having discriminant D, namely
S(D) =
Z[x]/(x2) if D = 0,
Z · (1, 1) + √D(Z ⊕ Z) if D ≥ 1 is a square,
Z[(D + √D)/2] otherwise.
路昌工業網站:http://lutron-ind.weebly.com/
4-4 總結
PID控制仍是目前業界所使用的主流,具有較少的數學演算需求及明確的參數定義等優點,方便使用者用最簡單的概念調整馬達控制特性,雖不見得能達到最佳控制效果,但仍可應付決大部份的使用需求,使其在工業應用領域中獨佔鰲頭。
4-3 PID控制器參數對系統之影響 http://lutron1980.pixnet.net/blog/post/171215079-%E8%87%AA%E5%8B%95%E6%8E%A7%E5%88%B6_pid%E6%8E%A7%E5%88%B6%E5%99%A8
4-3 PID控制器參數對系統之影響
由前述之介紹可知,若有特定之設計需求規格,則可計算求得PID控制器三項參數之值;然而,此三項參數對系統響應所造成之影響,各有所不同。一般來說,比例項是將誤差乘上一增益值Kp,可以控制系統的相對穩定度及穩態誤差。積分項是藉由低頻補償來改善系統的穩態誤差。微分項是藉由高頻補償來改善系統的暫態響應並改善過大的超越量。
以下將各別作詳細的分析。利用上述之例題一來做為說明,將例題一所求出之三項參數數值,放大或是縮小10倍,以比較參數調整對系統造成的影響。
圖4-7,為調整P控制器參數Kp所產生的作用,實際分析P控制器之轉移函數,以了解其對系統影響之原因。

圖4-7:對系統響應之影響
理論上來說,改變Kp值之影響關係如下:
1.改變Kp值,可調整系統的相對穩定度及穩態誤差。
2. Kp值增大可降低穩態誤差,但破壞相對穩定度。
3. Kp值調小可改善相對穩定度,但卻會增加穩態誤差。
對於一般的串聯型PID控制器來說(PDF或是PDFF等則不一定),系統的頻寬將主要由控制器的比例項Kp來決定。因此在傳統的PI或是PID控制器的調變中,我們都會嘗試先將Kp的值先盡可能的調大,之後再藉由積分項或是微分項調整暫態行為。
圖4-8,則是調整PD控制器中,參數Kd所產生的作用。

圖4-8:對系統響應之影響
一般來說,改變Kd值之影響關係如下:
1.能預期高超越量,進而執行修正工作,使得暫態超越量得以改善。
2.可改善系統之阻尼特性及暫態響應,並增加相對穩定度。
3.不利於高頻雜訊干擾,且無法改善穩態誤差。
簡言之,微分控制器的加入可以改善暫態響應行為,但是不利於穩態誤差。但是由於微分控制在實務上會有雜訊放大的問題,因此一般很少被使用。
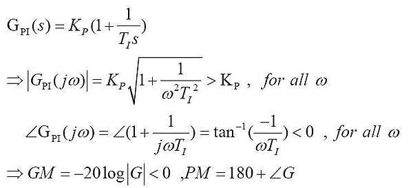
數學上來說,可以由觀察加入微分器的控制器模型來觀察系統的行為:

要注意的是雖然相位邊限是增加的,但是增益邊限是減少的,整體系統的閉迴路穩定度是增加或是減少,要依照實際的系統狀況才能判定。
PD控制器相當於在開迴路系統中加入一個非零的零點,可使根軌跡往左半平面移動,具有增加閉迴路系統的相對穩定度的效果。從時域的觀點來看,僅改善了過高的超越量及增加部份響應速度外,對穩態響應沒有幫助作用。以頻率的觀點來看,PD控制器就是一個高通濾波器(High Pass Filter)
圖4-9,則是調整PI控制器中,參數Ki所產生的作用。

圖4-9:對系統響應之影響
一般來說,改變Ki值之影響關係如下:
1.對於瞬間的系統變化無法即時反應,但若系統資料累積越多,其效果就越明顯,對於系統的穩態誤差有改善效果。
2.最差情況將使系統變的不穩定;即使系統仍維持穩定,其暫態響應的性能也會變差。
簡單來說,積分控制可以消除系統的穩態誤差,但是不利於暫態響應行為。需要注意的是在虛擬微分回授PDF控制中,Ki值也同時影響到系統的響應頻寬。注意上述討論的控制器增益動態影響都只針對傳統的串聯型PID進行討論。
數學上來說,可以由觀察加入積分器的控制器模型來觀察系統的行為:

整體系統的GM以及PM都是下降的,可以看出雖然增加積分控制可以改善系統的穩態誤差,但是閉迴路系統的絕對穩定度也會因此而降低。
PI控制器相當於在開迴路系統中加入一個非零的零點及一個極點(S=0),由於加入的極點比零點更接近虛軸,而會使系統變得更不穩定;然而在在S=0加入一個極點,可增加開迴路轉移函數的階數一次,具有改善系統的穩態誤差效果。以頻率的觀點來看,PI控制器是一個低通濾波器(Low Pass Filter),對系統內出現高頻雜訊或外在高頻干擾源有抑制作用。
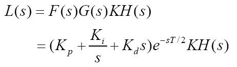
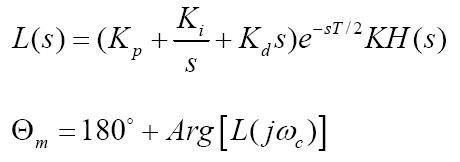
4-2 PID控制器參數推導
4-2 PID控制器參數推導
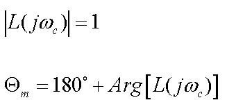
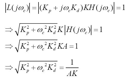
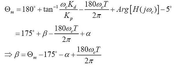
考慮系統之交換頻率(Crossover Frequency)和相位邊限(Phase Margin)因素,則
若僅考慮系統之大小關係,即Ki=0及G(s)=1,可將此開迴路系統推導為
(4-1)
其中
再考慮系統相位關係,受到相位落後5°的影響,則相關計算如下把值
將數值代入可得
其中
(4-2)
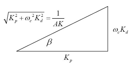
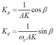
由(4-1)及(4-2)可繪得Kd與Kp之三角關係圖
例一:參考圖4-5之系統及其相關參數,設計適當的PID參數。
設計規格:
解:
則H(s)之轉移函數為
將以ωc=200代入,可得
則
另可知,Ki會造成相位落後5°,如圖4-6所示,則
由簡介可知PID控制器主要參數分別為Kp,Ki和Kd,故考慮一個實際的馬達系統模型,如圖4-2,推導PID控制器三項參數的選用與分析。

圖4-2:馬達系統模型
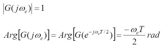
將此系統進一步簡化,可得圖4-3之模型,其中F(s)即為PID控制器,G(s)則是由取樣所造成的延遲時間因子,當取樣時間為T時,則
,H(s)為結合馬達、驅動器及感測器之簡化系統,其整體轉移函數如下



圖4-3:系統簡化模型
則此系統之開回路轉移函數為

由前述可知,參數Ki主要作用於系統低頻操作時,故可推斷Ki對於開迴路系統│L(jωc)│的大小值沒有影響,但對於相位則會造成約-5°的相位落後影響。因此,假設系統之延遲時間因子為1,則



再考慮系統相位關係,受到相位落後5°的影響,則相關計算如下把值




圖4-4:與三角關係圖
由圖4-4可推導出Kd與Kp之關係式

圖4-5:系統方塊圖
相關參數:


則H(s)之轉移函數為




圖4-6:PID控制器複數平面圖

PID(比例Proportional-積分Integral-微分Derivative)控制器,又稱為三項(ThreeTerms)控制器或程序(Process)控制器,係由比例單元P、積分單元I和微分單元D三項所共同組成
PID(比例Proportional-積分Integral-微分Derivative)控制器,又稱為三項(ThreeTerms)控制器或程序(Process)控制器,係由比例單元P、積分單元I和微分單元D三項所共同組成,其轉移函數型態如下

藉由Kp,Ki和Kd三個參數的設定,調整控制器的轉移函數;其中Kp稱為比例增益常數,使得輸入至輸出間具有一個常數比例關係,可藉此調整輸出放大或縮小;Ki為積分增益常數,Kd係微分增益常數,對於一個連續的類比訊號,除了以比例控制外,也可使用積分或微分進行處理,又稱為動態補償(DynamicCompensation)。
將PID控制器轉移函數中,將s以jw代入,則

可觀察到以下幾點
1.當系統處於穩態情況時,其輸入訊號變化頻率較小,則積分項I為控制器主要影響參數,故調整Ki參數可有效的改善系統的穩態誤差。
2.當系統為暫態情況,其輸入訊號變化頻率較大,此時微分項D為控制器主要影響參數,故調整Kd參數將使暫態增益大小改變,若將Kd增加,則系統響應較快。
3.無論何種狀態,比例項P都持續對系統造成影響。
可參考圖4-1,於不同頻率變化時,三項參數所佔的比重關係。

圖4-1:PID控制器複數平面圖
PID控制器主要適用於基本線性和動態特性不隨時間變化的系統,若將Kd參數設為零,則稱為積分型(PI)控制器,為最常見的使用類型;反之,將Ki設為零,則稱為微分型(PD)控制器。
2014年9月8日 星期一
2014年9月6日 星期六
AQ-八二法則 第一名 二個100分 和 老大
第一名 二個100分 和 老大
第一名 二個100分 和 老大
第一名只有一個
100分也許是第一名
老大只有一個
我
看不見希望
沒有資源 唯有失落
第一名只有一個
100分也許是第一名
老大只有一個
我
看不見希望
沒有資源 唯有失落
AQ-八二法則
某十人公司,總經理,副總經理在組織內特別重要,其他八人就顯得可有可無。一些組織,其中二個人,
經理和工程師舉足輕重,其他事就不太需要,讓人講得明講得懂的言辭。
某十人公司,總經理,副總經理在組織內特別重要,其他八人就顯得可有可無。一些組織,其中二個人,
經理和工程師舉足輕重,其他事就不太需要,讓人講得明講得懂的言辭。
2014年4月30日 星期三
訂閱:
文章 (Atom)